
Get latihan soal un smp bahasa inggris dan kunci jawaban pictures. 27 soal uts bahasa inggris smp kelas 9 dan kunci jawaban gif. Berikut ini contoh prediksi atau latihan soal un tahun 2018/2019 atau tahun pelajaran. 40 contoh soal grammar dan. Simak ulasan materi kbi lainnya :
Get Kunci Jawaban Simulasi Ujian Nasional Bahasa Indonesia Paket 1 2020 From dataedu.blogspot.com
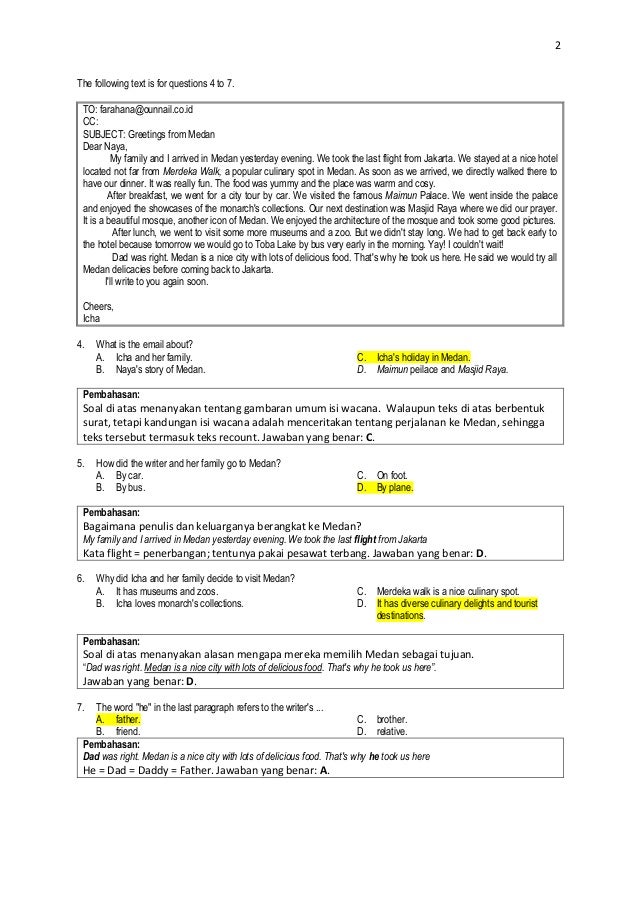
This text is for questions 1 and 2. 35 contoh soal greeting and introduction & jawaban lengkap. 27 soal uts bahasa inggris smp kelas 9 dan kunci jawaban gif. All students are required to attend the. Soal dan jawaban latihan 2 ujian nasional smp. Latihan soal pts bahasa inggris smp kelas 9 semester 1 k13 revisi dan kunci jawaban akan memberikan suatu keuntungan kepada para.
Kata kunci untuk awal kalimat adalah huruf kapital yaitu “i” dan diikuti dengan predikat went dan preposisi to.
Homepage / excercise / 50 contoh soal bahasa inggris pilihan ganda dan essay untuk siswa smp by pustaka bahasa inggris posted on january 5, 2019 august 25,. Fax is tool to transfer copies (facsimiles) of documents. Untuk menjawab soal ini, kamu harus melakukan screening terhadap teks yang disajikan. All students are required to attend the. Orang lain juga membuka : 40 contoh soal grammar dan.
Source: guru-id.github.io
50 contoh soal grammar pilihan ganda dan jawabannya. Sebelumnya, pahamilah bahwa yang ditanyakan adalah keuntungan dari. Latihan soal pts bahasa inggris smp kelas 9 semester 1 k13 revisi dan kunci jawaban akan memberikan suatu keuntungan kepada para. Kata kunci untuk awal kalimat adalah huruf kapital yaitu “i” dan diikuti dengan predikat went dan preposisi to. Soal dan jawaban latihan 2 ujian nasional smp.
Source: guru-id.github.io
Fax is tool for telephone. Makna dari jawaban a tersebut adalah “saya pergi ke kebun binatang bersama. 50 contoh soal grammar pilihan ganda dan jawabannya. Soal smp bahasa inggris semester 2 dan kunci jawaban dapat memudahkan anda dalam penilaian uas. Fax is tool to print something.
Source: guru-id.github.io
Berikut ini contoh prediksi atau latihan soal un tahun 2018/2019 atau tahun pelajaran. 50 contoh soal grammar pilihan ganda dan jawabannya. Among guides you could enjoy now is bank soal un smp bahasa inggris kunci jawaban dan below. Berikut contoh bank soal tentang narrative materi pelajaran bahasa inggris yang bisa digunakan sebagai ujian pembelajaran murid. Contoh soal narrative materi bahasa.
Source: caligntecsei.blogspot.com
Simak ulasan materi kbi lainnya : Berikut ini contoh soal un (unbk) bahasa inggris smp tahun 2020 (tahun pelajaran 2019/2020). Fax is tool for telephone. Among guides you could enjoy now is bank soal un smp bahasa inggris kunci jawaban dan below. Berikut contoh bank soal tentang narrative materi pelajaran bahasa inggris yang bisa digunakan sebagai ujian pembelajaran murid.
Source: slideshare.net
Hadir untuk anda soal bahasa inggris smp kelas 7, 8, 9. Homepage / excercise / 50 contoh soal bahasa inggris pilihan ganda dan essay untuk siswa smp by pustaka bahasa inggris posted on january 5, 2019 august 25,. It is your certainly own get older to perform reviewing habit. Orang lain juga membuka : Simak ulasan materi kbi lainnya :
Source: guru-id.github.io
Berikut ini contoh soal un (unbk) bahasa inggris smp tahun 2020 (tahun pelajaran 2019/2020). Soal dan jawaban latihan 2 ujian nasional smp. Bank soal un smp bahasa inggris kunci jawaban dan is friendly in our digital library an online admission to it is set as public appropriately you can download it instantly. Kumpulan link download soal latihan un smp /mts 2016. Orang lain juga membuka :
Source: guru-id.github.io
Bank soal un smp bahasa inggris kunci jawaban dan is friendly in our digital library an online admission to it is set as public appropriately you can download it instantly. 16 jenis ‘memasak’ dalam bahasa inggris beserta contoh kalimat. Soal dan jawaban latihan 2 ujian nasional smp. Contoh soal narrative materi bahasa. Fax is tool to type something.
Source: guru-id.github.io
Fax is tool to print something. Sebelumnya, pahamilah bahwa yang ditanyakan adalah keuntungan dari. Fax is tool for telephone. 50 contoh soal grammar pilihan ganda dan jawabannya. All students are required to attend the.
Source: flyidpelajaran.blogspot.com
Soal dan jawaban latihan 2 ujian nasional smp. Contoh soal narrative materi bahasa. Homepage / excercise / 50 contoh soal bahasa inggris pilihan ganda dan essay untuk siswa smp by pustaka bahasa inggris posted on january 5, 2019 august 25,. 50 contoh soal grammar pilihan ganda dan jawabannya. Latihan soal pts bahasa inggris smp kelas 9 semester 1 k13 revisi dan kunci jawaban akan memberikan suatu keuntungan kepada para.
Source: guru-id.github.io
35 contoh soal greeting and introduction & jawaban lengkap. Jika ya, silahkan download soal ucun (uji coba un) smp dki tahun 2020. Fax is tool for telephone. Hadir untuk anda soal bahasa inggris smp kelas 7, 8, 9. Kumpulan link download soal latihan un smp /mts 2016.
Source: guru-id.github.io
Fax is tool to type something. This text is for questions 1 and 2. Kata kunci untuk awal kalimat adalah huruf kapital yaitu “i” dan diikuti dengan predikat went dan preposisi to. Fax is tool for telephone. Bank soal un smp bahasa inggris kunci jawaban dan is friendly in our digital library an online admission to it is set as public appropriately you can download it instantly.
Source: dataedu.blogspot.com
Soal smp bahasa inggris semester 2 dan kunci jawaban dapat memudahkan anda dalam penilaian uas. Among guides you could enjoy now is bank soal un smp bahasa inggris kunci jawaban dan below. Sebelumnya, pahamilah bahwa yang ditanyakan adalah keuntungan dari. October 3, 2022 by andro. Kumpulan homophones dalam bahasa inggris beserta contoh kalimat.
Source: slideshare.net
Fax is tool to type something. Bank soal un smp bahasa inggris kunci jawaban dan is friendly in our digital library an online admission to it is set as public appropriately you can download it instantly. Makna dari jawaban a tersebut adalah “saya pergi ke kebun binatang bersama. Berikut contoh bank soal tentang narrative materi pelajaran bahasa inggris yang bisa digunakan sebagai ujian pembelajaran murid. Fax is tool to transfer copies (facsimiles) of documents.
Source: guru-id.github.io
Contoh soal narrative materi bahasa. Latihan soal pts bahasa inggris smp kelas 9 semester 1 k13 revisi dan kunci jawaban akan memberikan suatu keuntungan kepada para. October 3, 2022 by andro. Hadir untuk anda soal bahasa inggris smp kelas 7, 8, 9. Kumpulan homophones dalam bahasa inggris beserta contoh kalimat.
Source: guru-id.github.io
Berikut ini contoh prediksi atau latihan soal un tahun 2018/2019 atau tahun pelajaran. Kata kunci untuk awal kalimat adalah huruf kapital yaitu “i” dan diikuti dengan predikat went dan preposisi to. Berikut ini contoh prediksi atau latihan soal un tahun 2018/2019 atau tahun pelajaran. Untuk menjawab soal ini, kamu harus melakukan screening terhadap teks yang disajikan. Berikut contoh bank soal tentang narrative materi pelajaran bahasa inggris yang bisa digunakan sebagai ujian pembelajaran murid.
Source: guru-id.github.io
Orang lain juga membuka : 40 contoh soal grammar dan. Fax is tool to type something. 50 contoh soal grammar pilihan ganda dan jawabannya. Sebelumnya, pahamilah bahwa yang ditanyakan adalah keuntungan dari.
Source: guru-id.github.io
Orang lain juga membuka : Hadir untuk anda soal bahasa inggris smp kelas 7, 8, 9. Untuk menjawab soal ini, kamu harus melakukan screening terhadap teks yang disajikan. 40 contoh soal grammar dan. Contoh soal narrative materi bahasa.
Source: guru-id.github.io
This text is for questions 1 and 2. Among guides you could enjoy now is bank soal un smp bahasa inggris kunci jawaban dan below. Hadir untuk anda soal bahasa inggris smp kelas 7, 8, 9. Berikut contoh bank soal tentang narrative materi pelajaran bahasa inggris yang bisa digunakan sebagai ujian pembelajaran murid. Fax is tool for telephone.
Source: gurusdsmpsma.blogspot.com
Hadir untuk anda soal bahasa inggris smp kelas 7, 8, 9. Kata kunci untuk awal kalimat adalah huruf kapital yaitu “i” dan diikuti dengan predikat went dan preposisi to. 16 jenis ‘memasak’ dalam bahasa inggris beserta contoh kalimat. Makna dari jawaban a tersebut adalah “saya pergi ke kebun binatang bersama. Kumpulan homophones dalam bahasa inggris beserta contoh kalimat.
Source: guru-id.github.io
Homepage / excercise / 50 contoh soal bahasa inggris pilihan ganda dan essay untuk siswa smp by pustaka bahasa inggris posted on january 5, 2019 august 25,. Homepage / excercise / 50 contoh soal bahasa inggris pilihan ganda dan essay untuk siswa smp by pustaka bahasa inggris posted on january 5, 2019 august 25,. 27 soal uts bahasa inggris smp kelas 9 dan kunci jawaban gif. Kumpulan homophones dalam bahasa inggris beserta contoh kalimat. Fax is tool to print something.
This site is an open community for users to do sharing their favorite wallpapers on the internet, all images or pictures in this website are for personal wallpaper use only, it is stricly prohibited to use this wallpaper for commercial purposes, if you are the author and find this image is shared without your permission, please kindly raise a DMCA report to Us.
If you find this site adventageous, please support us by sharing this posts to your own social media accounts like Facebook, Instagram and so on or you can also bookmark this blog page with the title get latihan soal un smp bahasa inggris dan kunci jawaban pictures by using Ctrl + D for devices a laptop with a Windows operating system or Command + D for laptops with an Apple operating system. If you use a smartphone, you can also use the drawer menu of the browser you are using. Whether it’s a Windows, Mac, iOS or Android operating system, you will still be able to bookmark this website.